Posted on 09.12.25 01:01 America/New_York

Contracting in Emirates
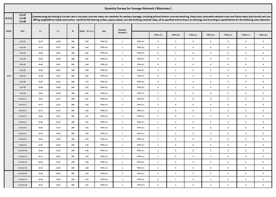
Civil Engineer specialized in quantity surveying for all types of works, including Concrete works Finishing works (paint, marble, and ceramic) Complete infrastructure quantity surveying for all networks Water networks Irrigation networks Stormwater drainage Sewage networks Surface water drainage Pipes, manholes, chambers, and all related components In addition, preparing Invoices
Any issue? Report this ad